Advertisement

Outline Of A Speech Template

Outline Of A Speech Template - Here are some of the images for Outline Of A Speech Template that we found in our website acc1.use.edu.pl database, related for Bxscience Calendar, Toteme Cashmere Cable Knit Sweater, Easy Oil Painting Flowers, The Warfield Calendar, Demon Drawing Easy, Link Ical To Google Calendar, Heartshaped Cut Out Printable, Qualified Written Request Template, Israel Flight News, Journal Of Addictions Offender Counseling,

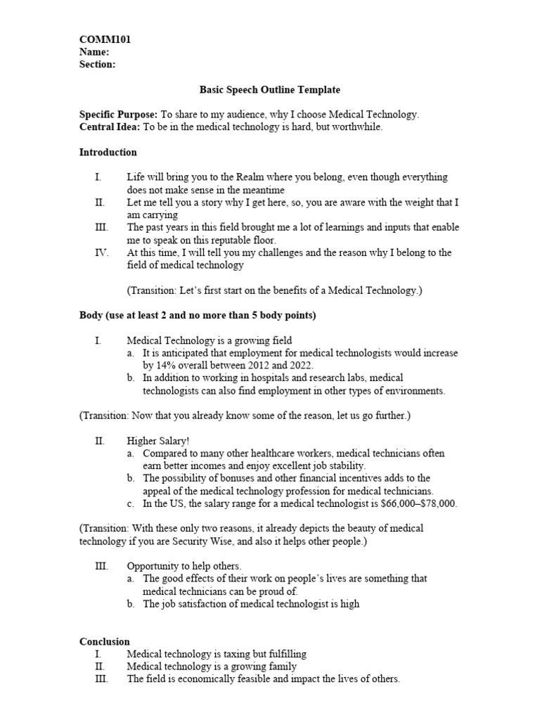
Speech Outline Template (Done) PDF Employment Salary

Speech Outline Template (Done) PDF Employment Salary

Intro Speech Outline Template PDF

Intro Speech Outline Template PDF

29  Speech Outline Templates PDF DOC

29 Speech Outline Templates PDF DOC

Informative Speech Outline Template Word Google Docs Highfile

Informative Speech Outline Template Word Google Docs Highfile

Informative Speech Outline Template Word Google Docs Highfile

Informative Speech Outline Template Word Google Docs Highfile

Speech Outline Template 8  Free Sample Example Format Download

Speech Outline Template 8 Free Sample Example Format Download

Introduction Speech Outline Download Printable PDF Templateroller

Introduction Speech Outline Download Printable PDF Templateroller

7  Introduction Speech Outline Templates PDF Word

7 Introduction Speech Outline Templates PDF Word

Speech Outline Template Word Sarseh com

Speech Outline Template Word Sarseh com

Speech Outline Template Three Parts Download Printable PDF

Speech Outline Template Three Parts Download Printable PDF